Anatomy Relevant to Conduction System Pacing and Identifying the Level and Extent of Block

Raja Selvaraj
Professor of Cardiology
JIPMER

Overview

  • Anatomy relevant to conduction system pacing
  • Level and extent of block in LBBB

Late 19th Century - Kent vs His

kent_his.png

  1. His W, Jr. Die Thätigkeit des embryonalen Herzens und deren Be-

deutung für die Lehre von der Herzbewegung beim Erwachsenen. Arb aus d med Klinik zu Leipzig 1893; 1:14–49.

  1. Kent AFS. Researches on the structure and function of the mam-

malian heart. J Physiol 1893; 14:233–254.

AV conduction axis

tawara.jpg

membranous_septum.png

Triangle of Koch

koch_triangle.png

Variable location of compact AVN

avn_inf_sup.png

Cabrera J-Á, Anderson RH, Macías Y, et al. Variable Arrangement of the Atrioventricular Conduction Axis Within the Triangle of Koch: Implications for Permanent His Bundle Pacing. JACC Clin Electrophysiol. 2020;6(4):362-377.

Penetrating bundle - TV septal leaflet

penetrating_bundle_septal_leaflet.png

Cabrera J-Á, Anderson RH, Macías Y, et al. Variable Arrangement of the Atrioventricular Conduction Axis Within the Triangle of Koch: Implications for Permanent His Bundle Pacing. JACC Clin Electrophysiol. 2020;6(4):362-377.

Longitudinal dissociation

parallel_collagen.png

Fine Structure of the His Bundle By THOMAS N. JAMES, M.D., AND LIBi SHEiw, M.D. Cifculation, Volume XLIV, July 1971

Branching bundle

branching_bundle.png

Left bundle branch and fascicles

tawara_lbb.png

LBB - variability

lb_fascicles_types.png

Demoulin JC, Kulbertus HE. Histopathological examination of concept of left hemiblock. Br Heart J. (1972) 34:807–14

LBBB - Level and extent

"Incomplete LBBB"

incomplete_lbbb.png

How complete is LBBB ?

pac_lt_axis.png

Barrett PA, Yamaguchi I. Jordan JL, et al. Electrophysiologicalfactors of left bundle-branch block. Br Heart J 1981;45:594-60 I

Level of block

level_lbbb.jpg

Upadhyay GA, Cherian T, Shatz DY .. Roderick Tung. Intracardiac Delineation of Septal Conduction in Left Bundle-Branch Block Patterns. Circulation 2019;139:1876-88

Level of block

  • Localized conduction block - 64%
    • Within His bundle - 72%
    • Proximal left bundle - 28%
  • Intraventricular conduction delay with intact purkinje activation - Others
  • Those with proximal CCB responded to HBP

Upadhyay GA, Cherian T, Shatz DY .. Roderick Tung. Intracardiac Delineation of Septal Conduction in Left Bundle-Branch Block Patterns. Circulation 2019;139:1876-88

Level of block determines correction with HBP

level_correction.jpg

Identification with ECG

level_ecg.png

Activation after LBB transection

lbbb_activation.png

VENEROSE RS, SEIDENSTEIN M, STUCKEY JH, HOFFMAN BF. Activation of subendocardial Purkinje fibers and muscle fibers of the left septal surface before and after left bundle branch block. Am Heart J. 1962 Mar;63:346-61

lbbb_activation.jpeg

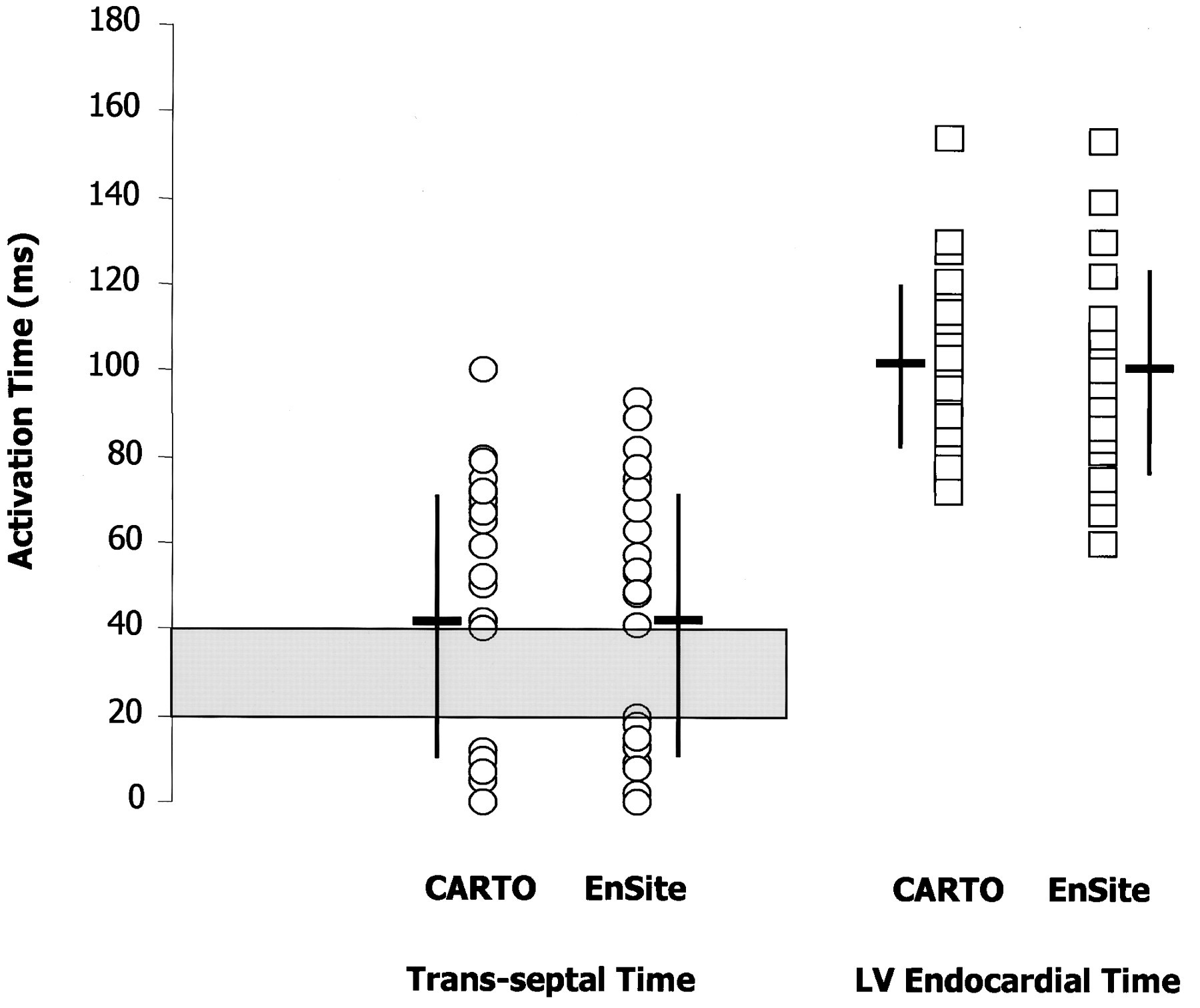
Multilevel block - transseptal, endocardial, transmural

lv_activation_times.jpg

Characterization of Left Ventricular Activation in Patients With Heart Failure and Left Bundle-Branch Block. Angelo Auricchio et al. Circulation. 2004;109:1133–1139

Functional block due to wavefront propagation ?

u_block.jpg

Characterization of Left Ventricular Activation in Patients With Heart Failure and Left Bundle-Branch Block. Angelo Auricchio et al. Circulation. 2004;109:1133–1139

Practical Implications

  • Anatomy
    • More important for HBP
  • Level of block
    • Explains why HBP works
    • LBP advantages over HBP
  • Distal block
    • Proximal LBP may not correct in all
    • Additional CS lead ?