CRT Troubleshooting - Advanced concepts
23-04-2020
Raja Selvaraj, JIPMER
Mohamed Loutfi, Mostafa Nawar, Salah Eltahan, Aly Abo Elhoda, Predictors of response to cardiac resynchronization therapy in chronic heart failure patients, The Egyptian Heart Journal, Volume 68, Issue 4, 2016, Pages 227-236,
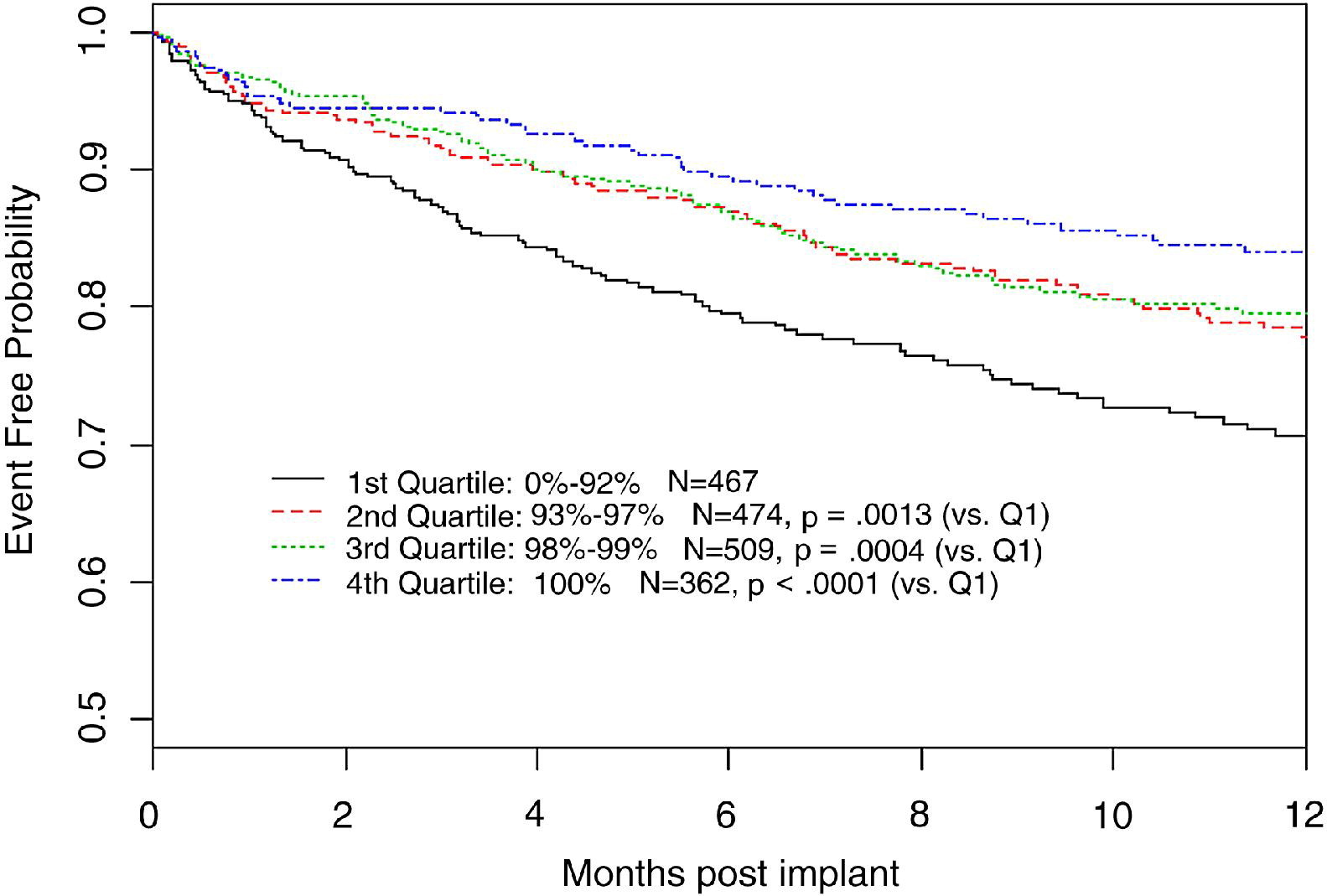
Koplan BA, Kaplan AJ, Weiner S, Jones PW, Seth M, Christman SA. Heart failure decompensation and all-cause mortality in relation to percent biventricular pacing in patients with heart failure: is a goal of 100% biventricular pacing necessary? J Am Coll Cardiol. 2009 Jan 27;53(4):355-60.
Hayes DL, Boehmer JP, Day JD, Gilliam FR 3rd, Heidenreich PA, Seth M, Jones PW, Saxon LA. Cardiac resynchronization therapy and the relationship of percent biventricular pacing to symptoms and survival. Heart Rhythm. 2011 Sep;8(9):1469-75
Kamath GS, Cotiga D, Koneru JN, Arshad A, Pierce W, Aziz EF, Mandava A, Mittal S, Steinberg JS. The utility of 12-lead Holter monitoring in patients with permanent atrial fibrillation for the identification of nonresponders after cardiac resynchronization therapy. J Am Coll Cardiol. 2009 Mar 24;53(12):1050-5
Ganesan AN, Brooks AG, Roberts-Thomson KC, Lau DH, Kalman JM, Sanders P. Role of AV nodal ablation in cardiac resynchronization in patients with coexistent atrial fibrillation and heart failure a systematic review. J Am Coll Cardiol. 2012 Feb 21;59(8):719-26
Morales MA, Startari U, Panchetti L, Rossi A, Piacenti M. Atrioventricular delay optimization by doppler-derived left ventricular dP/dt improves 6-month outcome of resynchronized patients. Pacing Clin Electrophysiol. 2006 Jun;29(6):564-8
More narrowing of QRS associated with better response
Lecoq G, Leclercq C, Leray E, Crocq C, Alonso C, de Place C, Mabo P, Daubert C. Clinical and electrocardiographic predictors of a positive response to cardiac resynchronization therapy in advanced heart failure. Eur Heart J. 2005 Jun;26(11):1094-100
0.5 ((R-LV - R-RV) + (IVCD-LR - IVCD-RL) )
Porciani MC, Rao CM, Mochi M, et al. A real-time three-dimensional echocardiographic validation of an intracardiac electrogram-based method for optimizing cardiac resynchronization therapy. Pacing Clin Electrophysiol. 2008;31:56–6
Vidal B, Tamborero D, Mont L.. Brugada J. Electrocardiographic optimization of interventricular delay in cardiac resynchronization therapy:a simple method to optimize the device. J Cardiovasc Electrophysiol. 2007;18:1252–1257
Kamdar R, Frain E, Warburton F, Richmond L, Mullan V, Berriman T, Thomas G, Tenkorang J, Dhinoja M, Earley M, Sporton S, Schilling R. A prospective comparison of echocardiography and device algorithms for atrioventricular and interventricular interval optimization in cardiac resynchronization therapy. Europace. 2010 Jan;12(1):84-91
Gold MR, Birgersdotter-Green U, Singh JP, Ellenbogen KA, Yu Y, Meyer TE, Seth M, Tchou PJ. The relationship between ventricular electrical delay and left ventricular remodelling with cardiac resynchronization therapy. Eur Heart J. 2011 Oct;32(20):2516-24
Singh JP, Klein HU, Huang DT, Reek S, Kuniss M, Quesada A, Barsheshet A, Cannom D, Goldenberg I, McNitt S, Daubert JP, Zareba W, Moss AJ. Left ventricular lead position and clinical outcome in the multicenter automatic defibrillator implantation trial-cardiac resynchronization therapy (MADIT-CRT) trial. Circulation. 2011 Mar 22;123(11):1159-66.
Anodal Stimulation: An Underrecognized Cause of Nonresponders to Cardiac Resynchronization Therapy
Khalin F Dendy, MD, Brian D Powell, MD, […], and Samuel J Asirvatham, MD. Indian Pacing Electrophysiol J. 2011 May-Jun; 11(3): 64–72.
Gras D, Gupta MS, Boulogne E, Guzzo L, Abraham WT. Optimization of AV and VV delays in the real-world CRT patient population: an international survey on current clinical practice. Pacing Clin Electrophysiol. 2009 Mar;32 Suppl 1:S236-9.