Sudden Cardiac Death - In search of an electrical signature

Raja Selvaraj

Introduction

Sudden cardiac death

SCD - what is it and why is it important

  • Unexpected, natural death from cardiac causes (< 24 h)
  • Significant contributor to all deaths in the West
  • About 10% of all deaths in the community

Rao BH, Sastry BK, Chugh SS, Kalavakolanu S, et al. Contribution of sudden cardiac death to total mortality in India - a population based study. Int J Cardiol. 2012; 154:163-7

SCD - Mechanism

sudden_death_cause.png

Causes

cause.jpg

Myocardial infarction

Myocardial infarction (Heart attack)

mi.png

Invisible problem - 100 patients after MI

mi_outcomes_1.png

At one year - Angina -> PCI

mi_outcomes_2.png

Angina -> CABG

mi_outcomes_3.png

Worsen -> Death

mi_outcomes_4.png

Follow up - Medically managed

mi_outcomes_5.png

Sudden death

mi_outcomes_6.png

AICD - the revolution

The history

Drugs for prevention of sudden death

CAST

cast.jpg

EMIAT

EMIAT.png

Michel Mirowski

mower_mirowski.png

History of development

  • Young Polish Cardiologist
  • Trained in France
  • Joined Professor Harry Heller in Israel in 1963

Professor Harry Heller

  • Recurrent ventricular arrhythmias
  • DC cardioversion
  • Dies suddenly (1966)

Idea for ICD

  • Early defibrillation can be life saving
  • Implanted device that can defibrillate ?
  • Scepticism
  • Moved to USA

Evolution

Early results - 1969

mirowski_dog.jpg

First report - 1970s

icd_article.png

Technical improvements

  • Miniaturization
  • Refinements in shock waveform
  • Smaller, transvenous electrodes
  • Implantation today a simple procedure

Evolution

device_evolution.jpg

ICD today

icd_cartoon.png

Trials, patient groups

icd_trials.png

Anthony Van Loo

Subcutaneous ICD

subcut_ICD.png

The End ?

Or, is it just the beginning?

Identifying patients at high risk

Lifesavers, but carry risks too

ny_times.png

EF and sudden death

charm.jpg

Solomon et al. Circulation 2005;112:3738-3744

Why not sufficient?

  • Cost of device implantation
  • Only 15-20% of patients with CAD will have sudden death
  • LV ejection fraction is a marker of risk
  • But only one component of a probably multifactorial risk profile
  • NNT about 15 over 3 years with EF alone
  • Many deaths in patients with EF > 30%

ECG

ecg.png

ECG signature

  • Electrocardiogram is a representation of the electrical activity of the heart
  • Encodes the rhythm, depolarization, repolarization
  • Should carry information regarding risk of sudden death

Premature Ventricular beats

pvc.jpg

  • Beats that originate in the ventricles

More abnormal beats - worse the outcome

Heart rate variability (HRV)

hrv.jpg

HRV - Outcomes

hrv_results.png

Kleiger RE, Miller JP, Bigger JT Jr, Moss AJ. Decreased heart rate variability and its association with increased mortality after acute myocardial infarction. Am J Cardiol. 1987 Feb 1;59(4):256-62.

Signal averaged ECG (SAECG)

  • 200 to 300 beats averaged and amplified
  • High pass filter
  • Low amplitude, high frequency signal in last part of filtered QRS

SAECG

qrs.png

SAECG

saecg.png

SAECG

saecg_arrhythmic_events.png

  • High negative predictive value

Kuchar DL, Thorburn CW, Sammel NL. Late potentials detected after myocardial infarction: natural history and prognostic significance. Circulation. 1986 Dec;74(6):1280-9

QT dispersion

qt_dispersion.png

T wave alternans

  • Change in morphology of T waves on alternate beats
  • Heralds onset of dangerous arrhythmias

TWA - Macroscopic

twa.jpg

Microscopic T wave alternans

mtwa_spectral.png

Chauhan VS, Selvaraj RJ. Utility of microvolt T-wave alternans to predict sudden cardiac death in patients with cardiomyopathy. Curr Opin Cardiol. 2007 Jan;22(1):25-32

Microvolt T wave alternans

  • Can be detected in some patients
  • Elevated heart rates (exercise / pacing)
  • Associated with risk of sudden death

Genesis of alternans

  • Alternans of cellular action potential duration and calcium levels
  • Alternans can be detected locally in heart muscle
  • Heterogeneity of alternans in the heart at different regions

Selvaraj RJ, Picton P, Nanthakumar K, Mak S, Chauhan VS. Endocardial and epicardial repolarization alternans in human cardiomyopathy: evidence for spatiotemporal heterogeneity and correlation with body surface T-wave alternans. J Am Coll Cardiol. 2007 Jan 23;49(3):338-46

Calcium and pressure alternans

mspa.png

Selvaraj RJ, Suszko A, Subramanian A, Mak S, Wainstein R, Chauhan VS. Microscopic systolic pressure alternans in human cardiomyopathy: noninvasive evaluation of a novel risk marker and correlation with microvolt T-wave alternans. Heart Rhythm. 2011 Feb;8(2):236-43.

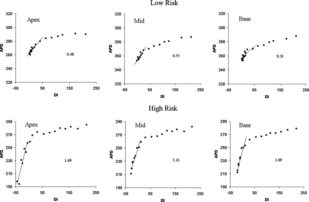
APD restitution

apd_restitution.gif

Dynamic instability

restitution_alternans.jpg

Restitution slopes

restitution.png

Selvaraj RJ, Picton P, Nanthakumar K, Chauhan VS. Steeper restitution slopes across right ventricular endocardium in patients with cardiomyopathy at high risk of ventricular arrhythmias. Am J Physiol Heart Circ Physiol. 2007 Mar;292(3):H1262-8

TWA in clinical practice

  • Commercial systems
  • Promising initial results
  • Not consistent across studies

Better measurement methods? - Noise / other methods

qrs.png

  1. Selvaraj RJ, Chauhan VS. Effect of noise on T-wave alternans measurement in ambulatory ECGs using modified moving average versus spectral method. Pacing Clin Electrophysiol. 2009 May;32(5):632-41
  2. Ghoraani B, Krishnan S, Selvaraj RJ, Chauhan VS. Adaptive time-frequency matrix features for T wave alternans analysis. Conf Proc IEEE Eng Med Biol Soc.2009;2009:39-42
  3. Ghoraani B, Krishnan S, Selvaraj RJ, Chauhan VS. T wave alternans evaluation using adaptive time-frequency signal analysis and non-negative matrix factorization. Med Eng Phys. 2011 Jul;33(6):700-11.

Body surface mapping

twa_bspm.png

Selvaraj RJ, Suszko AM, Subramanian A, Sivananthan D, Hill A, Nanthakumar K, Chauhan VS. Body surface projection of action potential duration alternans: a combined clinical-modeling study with implications for improving T-wave alternans detection. Heart Rhythm. 2009 Aug;6(8):1211-9.

Heart Rate Turbulence (HRT)

  • Changes in beat-to-beat intervals following premature beats
  • Marker of autonomic function

HRT

pvc.jpg

HRT

hrt.png

Georg Schmidt, Marek Malik, Petra Barthel, Raphael Schneider, Kurt Ulm, Linda Rolnitzky, A John Camm, J Thomas Bigger, Albert Schömig, Heart-rate turbulence after ventricular premature beats as a predictor of mortality after acute myocardial infarction, In The Lancet, Volume 353, Issue 9162, 1999, Pages 1390-1396

HRT good

hrt_good.jpg

HRT bad

hrt_bad.jpg

QRS fractionation

frag_qrs.png

QRS fractionation - Meta analysis

fqrs_results.png

Rosengarten JA, Scott PA, Morgan JM. Fragmented QRS for the prediction of sudden cardiac death: a meta-analysis. Europace. 2015 Jun;17(6):969-77.

ECG markers of risk - What is the current status?

  • Many markers studied
  • Measures of autonomic function
    • Heart rate variability
    • Heart rate turbulence
  • Measures of abnormal depolarization
    • Fractionated QRS
    • Signal averaged ECG - Late potentials
  • Measures of abnormal repolarization
    • QT dispersion
    • T wave alternans

How are we placed to study these?

  • Magnitude of problem in India
  • Most patients dont get ICDs - Surrogate vs true outcomes
  • Datasets / Modeling tools

Study in JIPMER

  • 58 patients
  • LV dysfunction post MI (LVEF < 40%)
  • Multiple parameters measured at baseline
  • Followed up for 2 years

Outcomes

  • Mean age 46.8 yrs
  • 7/58 died suddenly
  • PVCs, HRV, TWA, HRT were not predictive
  • EF was strongest predictor

The future

  • New markers ?
  • Better measurement methods
  • Combine markers

Thank you